뭔가 제목은 어렵게 보인다... Binomial.... 영어 울렁증
말그대로 홀짝 확률이라고 보면됩니다.
동전 한번 던졌을 때 홀이 한번 나올 확률은 0.5 짝이 나올확률은 0.5
동전 두번 던졌을 때 홀이 두번 나올 확률은 0.25= (0.5*0.5).
각 동전의 던지기할때 다른 이전의 던지기가 다음 던지기에 영향을 미치지 않으니 독립입니다.
만약에 박스에서 맛있는 사탕만 빼먹으면 남은 카카오99프로 초콜렛 뽑는거에 영향을 미치니 이 경우는 종속(비독립)입니다.
실행횟수가 1일 경우, 즉 n=1 일경우에는

표현되는거죠.
실행횟수가 여러번일 경우는

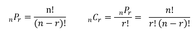
이런식으로 앞에 nCx가 붙게되는거죠. 총 n에서 x를 순서에 상관없이 뽑는 경우의 수
구하는 방법은

아런식으로 구할수있습니다.
이런걸 왜 배워라고 할 수 있겠지만 조만간 재밌는 주제를 가지고 찾아오겠습니다.
'Mathematics & Science > 확률' 카테고리의 다른 글
| Multiverse 멀티버스 과연 존재하는 걸까? (Feat. 다중 우주론) (0) | 2023.02.12 |
|---|---|
| 남자 아이를 낳을 때 까지 계속 출산한다면 남녀비율? (Feat. 등비수열, 아들 딸 문제) (1) | 2020.08.30 |
| 룰렛에서 20번 빨간색 나오는 경우 다음은 검정색? (feat. 도박사의 오류) (1) | 2020.08.05 |
| 몬티 홀 문제, 선택을 바꾸면 당첨 확률이 올라간다! (0) | 2020.02.14 |
댓글